つっても、非公開のを別につけているわけではない。
Copyright 1999- Jun Makino
2004/11 2004/10 2004/09 2004/08 2004/07 2004/06 2004/05 2004/04 2004/03 2004/02 2004/01当面の予定
Our site automatically analyses recently published preprints and tries to contact appropriate authors to review them. The idea is basically similar to the Mathematical Reviews, a service that regretly does not exist in Physics. Besides, people can register here and upload their own reviews, or link to the ones in their webpages.というものだそうで、要するにロボットが勝手に依頼を送りつけてくるのか?
カーネルがあれな感じなので hanawa0 から /boot と /usr/src, 後 /etc/lilo.conf をコピーしてみると、、、あれ、落ちない?本当?
なんか 8111 をちゃんと認識してなかったとかそのへんの問題らしい。ふむ。
タイトル:専用計算機による計算科学概要
計算科学が、理論とも実験とも異なる「第三の科学」と言われるようになって ずいぶんになる。その名にふさわしいだけの成果・実体があるかどうかには議 論があるところだと思うが、科学技術の様々な分野で大規模な数値計算やシミュ レーションが重要な役割を果たすようになっているのは疑いのないところであ る。
これまでの計算科学の発展には、過去半世紀以上にわたって続いてきた指数関 数的な計算機の能力の発展が大きく貢献している。しかし、これは、言い換え ると計算科学の発展にか計算機の能力が足枷になってきたということでもある。
この足枷を多少でもゆるめる一つの方法が、専用計算機の開発である。本講義 では、
といったことについて、過去の事例をもとに議論し、計算科学研究の将来につ いて考える。
- 何故専用計算機を考えるのか
- 専用計算機とはどのようなものか
- どのような場合にうまくいく(いかない)か
クライアント側は確かに rw でマウントしている (/etc/mtab をみても)ので、 サーバーのほうがおかしいことになる。色々チェックしてみると、 /etc/exports がこんな記述に:
/foo/bar * (rw)これは turbonetcfg が作ったものなんだけど、 * と (rw) の間にスペースが 入っている。しかし、このスペースは実はあってはいけないようで、他の機械 の設定を見るとみんな消してあった。スペースとってやると問題なさそう。
Dec 26 17:19:43 g6host50 kernel: I/O error: dev 08:12, sector 3304590080 Dec 26 17:19:43 g6host50 kernel: I/O error: dev 08:12, sector 3304590334 Dec 26 17:19:43 g6host50 kernel: I/O error: dev 08:12, sector 3304590588 Dec 26 17:19:43 g6host50 kernel: I/O error: dev 08:12, sector 3304590842こんなエラーが山のように出るんだけど、これ変?1セクタ 512B とすると 1.6T の向こう側なんだけど、、、 ext2 のバグかしら? 800GB ではうまくいっ てたしな、、、
# /sbin/mkfs.xfs -f -L USBHD0 -d size=380000000b /dev/sda2
meta-data=/dev/sda2 isize=256 agcount=363, agsize=1048576 blks
data = bsize=4096 blocks=380000000, imaxpct=25
= sunit=0 swidth=0 blks, unwritten=0
naming =version 2 bsize=4096
log =internal log bsize=4096 blocks=32768
realtime =none extsz=65536 blocks=0, rtextents=0
mkfs.xfs: lseek64 to 18446743437472979968 failed: Invalid argument
# /sbin/jfs_mkfs /dev/sda2
/sbin/jfs_mkfs version 1.1.1, 17-Dec-2002
Partition must be at least 16 megabytes.
結局、 800GB ずつに分けたら特に文句をいわなくなった。変なの。
# /sbin/fdisk /dev/sda
The number of cylinders for this disk is set to 194565.
There is nothing wrong with that, but this is larger than 1024,
and could in certain setups cause problems with:
1) software that runs at boot time (e.g., old versions of LILO)
2) booting and partitioning software from other OSs
(e.g., DOS FDISK, OS/2 FDISK)
Command (m for help): p
Disk /dev/sda: 255 heads, 63 sectors, 194565 cylinders
Units = cylinders of 16065 * 512 bytes
Device Boot Start End Blocks Id System
/dev/sda1 1 2 16033+ 83 Linux
/dev/sda2 3 100000 803233935 83 Linux
/dev/sda3 100001 194565 759593362+ 83 Linux
# /sbin/mke2fs -T largefile -j /dev/sda2 ; /sbin/mke2fs -T largefile -j /dev/sda3
mke2fs 1.27 (8-Mar-2002)
Filesystem label=
OS type: Linux
Block size=4096 (log=2)
Fragment size=4096 (log=2)
784512 inodes, 200808483 blocks
10040424 blocks (5.00%) reserved for the super user
First data block=0
6129 block groups
32768 blocks per group, 32768 fragments per group
128 inodes per group
Superblock backups stored on blocks:
32768, 98304, 163840, 229376, 294912, 819200, 884736, 1605632, 2654208,
4096000, 7962624, 11239424, 20480000, 23887872, 71663616, 78675968,
102400000
Writing inode tables: done
Creating journal (8192 blocks): done
Writing superblocks and filesystem accounting information: done
This filesystem will be automatically checked every 32 mounts or
180 days, whichever comes first. Use tune2fs -c or -i to override.
mke2fs 1.27 (8-Mar-2002)
Filesystem label=
OS type: Linux
Block size=4096 (log=2)
Fragment size=4096 (log=2)
741888 inodes, 189898340 blocks
9494917 blocks (5.00%) reserved for the super user
First data block=0
5796 block groups
32768 blocks per group, 32768 fragments per group
128 inodes per group
Superblock backups stored on blocks:
32768, 98304, 163840, 229376, 294912, 819200, 884736, 1605632, 2654208,
4096000, 7962624, 11239424, 20480000, 23887872, 71663616, 78675968,
102400000
Writing inode tables: done
Creating journal (8192 blocks): done
Writing superblocks and filesystem accounting information: done
This filesystem will be automatically checked every 22 mounts or
180 days, whichever comes first. Use tune2fs -c or -i to override.
Dec 24 22:31:07 g6host50 kernel: hub.c: new USB device 00:02.2-1, assigned address 2 Dec 24 22:31:07 g6host50 kernel: usb.c: USB device not accepting new address=2 (error=-71) Dec 24 22:31:07 g6host50 kernel: hub.c: new USB device 00:02.2-1, assigned address 3 Dec 24 22:31:07 g6host50 kernel: usb.c: USB device not accepting new address=3 (error=-71)成功:
Dec 24 22:37:40 g6host50 kernel: hub.c: new USB device 00:02.2-3, assigned address 4 Dec 24 22:37:40 g6host50 kernel: usb.c: USB device not accepting new address=4 (error=-71) Dec 24 22:37:40 g6host50 kernel: hub.c: new USB device 00:02.2-3, assigned address 5 Dec 24 22:37:40 g6host50 kernel: Manufacturer: CENTURY corporation Dec 24 22:37:40 g6host50 kernel: Product: EX35FUL4 Dec 24 22:37:40 g6host50 kernel: SerialNumber: 0123456789022A68 Dec 24 22:37:40 g6host50 kernel: scsi0 : SCSI emulation for USB Mass Storage devices Dec 24 22:37:41 g6host50 kernel: Vendor: Century Model: EX35FUL4 Rev: 0100 Dec 24 22:37:41 g6host50 kernel: Type: Direct-Access ANSI SCSI revision: 02 Dec 24 22:37:41 g6host50 kernel: Attached scsi disk sda at scsi0, channel 0, id 0, lun 0 Dec 24 22:37:41 g6host50 kernel: SCSI device sda: 2422433664 512-byte hdwr sectors (1240286 MB) Dec 24 22:37:41 g6host50 kernel: sda:<7>usb-storage: queuecommand() called Dec 24 22:37:41 g6host50 kernel: sda1 sda2あれ、さらに I/O エラーが、、、駄目かなこりゃ?
=====================================================================
N体シミュレーション大寒の学校
--GRAPEを用いた多体問題計算入門--
第1報
=====================================================================
重複して受け取られる方は御容赦下さい。
このメールは自由に転送して下さい。
---------------------------------------------------------------------
開催要項
---------------------------------------------------------------------
主催:
国立天文台天文学データ解析計算センター
趣旨:
銀河団、銀河、星団、微惑星系、惑星リングなどは重力多体系と考え
られます。これらの系の構造や進化を調べるのには、構成粒子の運動
方程式を数値的に積分して系の時間発展を調べるN体シミュレーショ
ンが強力な武器となります。
国立天文台天文学データ解析計算センターでは2001年1月から重力多
体問題専用計算機GRAPEシステム(愛称MUV)の共同利用を開始しました。
GRAPEはN体シミュレーションの中でもっとも計算量の大きい重力相互
作用の部分を超高速で計算するハードウェアです。GRAPEを使えばこ
れまで不可能だった大規模なN体シミュレーションが可能になります。
N体シミュレーションのおもしろさと、MUVのさらなる有効活用を促進
するために、N体シミュレーション大寒の学校を企画しました。
学校では重力多体系の基礎物理、N体シミュレーションの基礎を講義
し、GRAPEを用いたN体シミュレーションの実地指導を行なう予定です。
URL:
http://www.cc.nao.ac.jp/muv/#school
期日:
2005年1月25日(火)午後-27日(木)午後
場所:
国立天文台三鷹キャンパス
交通:
次のURLを御覧下さい。
http://www.nao.ac.jp/Map/index-j.html
参加資格・定員:
学部4年生以上、16名程度。
申込者が多い場合は先着順とさせていただきます。
講義のみの参加は自由です。定員はありません。
参加費:
無料
宿泊:
24日-26日は天文台内の宿泊施設コスモス会館を若干名分押えていま
す。地方からの参加者を優先に割りふります。下記の申し込みフォー
ムのコスモス会館宿泊希望にチェックして下さい。
旅費補助:
旅費の補助が可能です。補助を希望の方は下記の申し込みフォームの
旅費補助希望にチェックして下さい。
※予算が限られていますので御希望通り補助できない場合もあります。
また、申し訳ありませんが、規定により学部生には補助できません。
申し込み方法:
下記フォームに記入し、
adac-application@cc.nao.ac.jp
宛に
Subject:N-BODY_SCHOOL
と記入して送って下さい。申込〆切は1月16日です。
講義・実習内容:
[講義]
・重力多体系の基礎物理
・常微分方程式の数値積分法の基礎
[実習]
・GRAPEを使うN体シミュレーション用コードの開発
・銀河衝突のN体シミュレーション
実習にはC言語を使います(C言語を習熟している必要はありませんが、
基礎は理解している必要があります)。Fortranを使う場合についても
解説します。講義・実習内容の詳細はまたおってお知らせします。
予定講師:
牧野淳一郎(東京大学)
福重俊幸(東京大学)
川井敦(埼玉工業大学)
小久保英一郎(国立天文台)
台坂博(国立天文台)
問い合わせ:
世話人代表: 小久保英一郎(国立天文台理論研究部)
E-mail: kokubo@th.nao.ac.jp
=====================================================================
N体シミュレーション大寒の学校参加申込書
=====================================================================
To: adac-application@cc.nao.ac.jp
Subject: N-BODY_SCHOOL
〆切: 2005年1月16日(日)20時
---------------------------------------------------------------------
氏名:
所属:
学年/職名(級号):
所属連絡先
住所:
TEL:
FAX:
E-mail:
コスモス会館の宿泊希望: 有 無
旅費補助の希望: 有 無
---------------------------------------------------------------------
ssh -D 8080 grape.astron.s.u-tokyo.ac.jpとして、ブラウザの SOCKS proxy に 127.0.0.1:8080 SOCKS(4/5) を設定す るだけ。
If you already arrive on Tuesday, please meet us and other participants in Braidburn Inn, Mayfield Road, close to the King's Buildings Campus (you find detailed maps in the attached file). We will be there from 8pm.とのこと。通りは同じだ。
reg00: base=0x00000000 ( 0MB), size= 512MB: write-back, count=1では
linkread_dma, Wall = 4.98598e-01 CPU= 4.90000e-01 67.298MB/s 68.478MB/s linkwrite, Wall = 4.89728e+00 CPU= 4.90000e+00 13.703MB/s 13.696MB/sだったものが
reg00: base=0x00000000 ( 0MB), size= 512MB: write-back, count=1 reg01: base=0xeea00000 (3818MB), size= 1MB: write-combining, count=1では
linkread_dma, Wall = 8.46119e-01 CPU= 8.50000e-01 39.657MB/s 39.476MB/s linkwrite, Wall = 9.62245e-01 CPU= 9.60000e-01 69.742MB/s 69.905MB/sと 5 倍ばかり速くなった。なんか DMA が遅くなってるけど、、、
とりあえず今週中に4通。
あ、某言語仕様書もみないと。
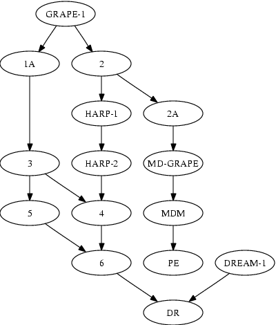
155 11:09 tar xvzf graphviz-1.16.tar.gz 156 11:09 cd graphviz-1.16 159 11:09 ./configure 160 11:10 make 164 11:16 sudo make installこれだけ。 .dot ファイルというものを書いて
dot -Tps unix2.dot -o unix2.psみたいなことをすればいいらしい。
こんなの
digraph GRAPES {
size="8,8";
node [fixedsize=false,width=1.2];
"GRAPE-1" -> "1A";
"GRAPE-1" -> "2";
"1A" -> "3";
"2" -> "2A";
"2" -> "HARP-1";
"3" -> "4";
"HARP-1" -> "HARP-2";
"HARP-2" -> "4";
"3" -> "5";
"4" -> "6";
"5" -> "6";
"2A" -> "MD-GRAPE";
"MD-GRAPE" -> "MDM";
"MDM" -> "PE";
"6" -> "DR";
"DREAM-1" -> "DR";
}
から、こんなの
Dear Dr. Shoji Makino: 以下全部略だからそれ誰?この 人かしら。